新浪体育

串关越少越有利?竞彩返奖率背后原来还有这些

新浪彩票

关注

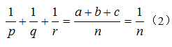
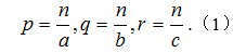
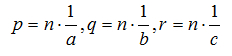
前面讲到,赔率的本质是概率,但赔率又不等同于概率,两者之间是成反比关系的。既然是反比关系,那么赔率与其对应概率的乘积就是一个常量,用字母n来表示。假设某场比赛胜平负的概率分别是a、b、c (a+b+c=100%),则其对应的赔率p、q、r分别为

[新浪小炮智能预测全球足彩][新人1元][下载APP看购彩方案]

不难发现:赔率的倒数和也是一个常量,即

下面就可以找到常量n和赔率之间的关系:

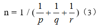
我们把常量n称作赔付率,又叫作返还率(或返奖率)。由⑵式可以看出赔付率n与赔率是同相的,如果n=1,那么赔率正好是概率的倒数,则此时的赔率是最“公平”的,我们将这种赔率称作原始赔率。但是博彩公司不是慈善机构,为获取一定的利润,赔付率通常是小于1的,(1- n)就是博彩公司的利润,俗称“抽水”。

再用用赔付率n乘上原始赔率,即

这就是我们在网上能查看到的赔率,即标准赔率。如果用标准赔率再乘赔付率n,就得到“正交”赔率,而正交赔率是我分析预测足球比赛的基础数据。

不知道你们看懂了没有,下面用实例来说明。比如西甲第17轮最后一场比赛

我最喜欢的奥萨苏纳VS巴伦西亚

可以套用上面的公式计算出来竞彩单场的赔付率,即单关返奖率

n = 1/ (1/p + 1/q + 1/r) = 1/(1/4.30 + 1/3.45 + 1/1.65) ≈ 0.885

现在赔付率和赔率都是已知量,又可以计算胜平负三项赔率对应的概率

a = n/p = 0.885÷4.30 = 20.6%

b = n/q = 0.885÷3.45 = 25.7%

c = n/r = 0.885÷1.65 = 53.6%

考虑到四舍五入计数误差,可验证三项概率的和a+b+c=100%

当然,你们还可以计算让球玩法或其他比赛的返奖率,结果应该是大同小异。但这只是单场比赛的返奖率,根据排列组合的乘法原理,过关场次越多,返奖率就越低。例如

2串1返奖率为 0.885×0.885 = 78.3%

3串1返奖率为 0.885×0.885×0.885 = 69.3%

……………

8串1返奖率只有 37.6%。

以上数据均可以通过平均优化的方式验证。也就是说,将1万元注码平分成100份,每次拿出一份(100元)购买8串1,如果不考虑彩民的投注水平,从概率上说只能收回不到4000元。所以这类彩民亏损,不是因为自身的水平不够,而是输在了数学概率上。所以,减少串关场次,对彩民来说是有利的。

正是因为赔付率的出现,从理论上讲,庄家才有了盈利的可能。赔付率越低,庄家盈利也就越多;相反,赔付率越高,庄家盈利就越少,但这并不代表利润变少。薄利多销是个很简单的道理,如果一家博彩公司降低在每个玩家身上榨取的利润,开出相比其他公司更高的赔率,那么在其他公司投注的资金将会蜂拥而至。有一项数据表明,在全球博彩市场中,返奖率每提高一个百分点,销量就会增加10%。因此,主动放弃一部分利润率,也许会带来更多的利润,反之亦然。

赔付率是博彩公司事先预定好的系数,选项越少的玩法,它的赔付率通常越高,而选项越多的玩法,赔付率往往越低。比如亚盘是两项盘,它的返奖率通常大于欧赔;胜平负(包括让球胜平负)是三项盘,返奖率又远远高于半全场、比分等玩法。亚盘的赔付率也是可以计算的,方法和欧赔相似,这块内容要过两周才能说到,而欧赔有胜平负三个选项,但每个选项的实际赔付又是各不相同的。换言之,博彩公司内部会对比赛做出自己的判断,然后压低或抬高某一项赔率,以期得到更高的利润。这就牵扯到凯利指数这个概念了,我们下期接着讲。(高峰)

加载中...