新浪体育

霍金算出巴西夺2014世界杯 1方程可保天天中彩票

新浪体育

关注

作为最杰出的物理学家、宇宙学家和数学家,作为极少数能够窥探宇宙秘密的人类,霍金却说,他的整个人生都逃避不了打赌的嗜好,如果得到了“时间旅行方程式”,那么就可以天天中彩票了!世界杯临近,爱打赌的霍金又闲不住了,他列出了一组高深的“世界杯夺冠公式”,声称通过计算,巴西将夺冠军,而英格兰前路艰险。

神秘公式 世界杯冠军=巴西

借着博彩公司的策划炒作,著名物理学家斯蒂芬-霍金开动了脑筋,饶有兴致的推出了世界杯夺冠公式。从小就爱和人打赌的他,这一次跟全世界球迷来了次“剧透”。[世界杯足彩开售][竞彩:巴西首战胜赔1.18][投注世界杯半价]

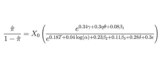
霍金的公式并非凭空想象,他是将世界杯以往的比赛作为数据,进行了各方面因素的统计与分析,包括温度、海拔、球衣颜色、行程以及距离等等,推算出了世界杯夺冠的最理想条件。霍金称,根据公式,本次世界杯冠军将是东道主巴西队。而英格兰这届,又得悬。

英格兰自1966年之后就未曾染指过世界杯冠军。如今这支英格兰国家队,也被球迷调侃为“英超二队”“欧洲中国队”等等。对此,霍金也给英格兰提了一些建议,打433阵型、穿红色球衣、罚点球时助跑距离长一点等。霍金还认为,踢点球时,秃头或者谢顶的球员最可信赖,他们有更大的罚中几率。说到这里,鲁尼是否开始后悔植发了呢?

高大上的“世界杯夺冠公式”,全世界相信没几个人可以看懂。霍金说:“自从有人类文明以来,人们总是倾向于相信,偶然之中总有必然。他们认为,世界的运转,有内部的必然规律,而世界杯也不例外。但事实上,相对于量子力学来说,足球要复杂多了。”

时间旅行方程=天天中彩票

霍金预测世界杯看似突兀,但也绝非心血来潮。实际上,霍金从小就喜爱跟人打赌。小到在儿时赌伙伴的口袋里有没有糖,大到在学术上赌能否找到神秘粒子。为此,霍金尝过甜头,也输过钞票。同是物理学家的恩格勒和希格斯,就因为在学术上的突破,不但获得得了诺贝尔奖,还赚了霍金100美元。乐在其中的霍金却说,他的整个人生都逃避不了打赌的嗜好。

几年前,某杂志向霍金发送传真,寻求关于“时间旅行”的方程式。霍金很快的便回复了过去。传真中简简单单的只有三句话:感谢来信。我尚未获得“时间旅行”的方程式。如果我有,那我就可以期期中彩票了!(张杰)

加载中...