新浪体育

各阶段配速对照表 根据自己的目标配速进行训练

体育综合

关注

一场马拉松,如果想顺利的跑完,体能是一个重要因素,而如果想轻松的跑下来,那心肺能力的提高是更重要的,没有轻松的呼吸,就没有轻松的步伐。

想达到目标成绩,就要有相应的配速能力,如果在平时都无法随意驾驭目标配速,那么在比赛中跑崩,状态差等问题出现也就没有什么奇怪的了。今天,马拉松助手给大家总结了各阶段配速对照表还有三种提高马拉松成绩的最佳训练方法。

想要达到自己的马拉松目标,首先就要在平时的训练中不断地磨练自己的速度,使之靠近目标配速,在不断的训练中,将目标配速保持的距离不断加长,这是最直接的提升方式。

不过在这之中,有两个训练是非常重要的,一个是最大摄氧量提升训练,另一个是最大有氧训练。

1、最大摄氧量训练

最大摄氧量训练,最简单的方法就是按照自己5公里比赛的配速来进行跑步,重复600米到1600米距离的跑步,这里5公里的比赛配速,指的是在天气、赛道、状态等各方面都达到优良情况下进行的,在任何影响自己发挥最佳水平的条件下跑出的5公里成绩都不足为凭。

VO₂ Max

上表是按照5公里比赛成绩制定的最大摄氧量训练配速。

最大摄氧量是指在人体进行最大强度的运动时,当机体出现无力继续支撑接下来时,所能摄入的氧气含量。它是人体在增量运动期间测量出的最大耗氧速率。

这个体质数据是作为耐力运动员的重要选材依据之一,它反映了个体的心肺适应度,是人体有氧运动能力的重要指标,极高的最大摄氧量是完成高水平有氧运动表现的基础。

最大摄氧量除了用运动医学仪器进行精确的测量之外,现在的运动手表也能很准确地测量。另外,很多运动学家还提出了计算自己最大摄氧量的诸多公式,可以根据自己身体的其他指标来测算最大摄氧量。

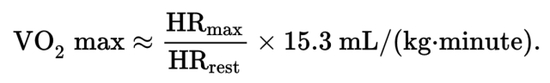
丹麦的一组研究人员创建了基于最大和静息心率的测量公式。

该方程使用最大心率(HR max)与静息心率(HR rest)的比值来预测最大摄氧量。研究人员说,转换规则是根据对21至51岁的受过良好训练的男子进行的测量。也就是说,这个公式适用于经常训练的跑者。

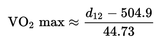
库珀测试(12分钟跑)

有氧运动之父肯尼斯·库珀在二十世纪六十年代末对美国空军进行了一项研究。其中一个方案就是库珀测试,要求测量跑者在12分钟内全力跑步。

其中d12就是在12分钟内跑步的距离(以米为单位)。

一个替代方程是:

其中dmiles 12是在12分钟内覆盖的距离(以英里为单位)。

《丹尼尔斯训练法》中曾提到,最有效地提高最大摄氧量的跑步是按照现有的最大摄氧量的95%~100%的强度去跑(VO2 max 的95%~100%相当于自己现阶段3000米到5000米的比赛配速)

经过良好训练的跑者可以在最大摄氧量的配速下坚持8分钟。

对最大摄氧量的刺激来源于在训练中最佳强度范围内所积累的时间长度,时间越长效果越好,我们来看一组具体的例子。

同一个运动员的两个不同练习安排。

经过实验表明,同样是6000米的间歇跑,一个是15组的400米,另一个是5组1200米。通常情况下,当跑400米间歇时,每组的最佳强度范围时间大约为45秒,一共会累积11分钟的最佳强度时间。

当间歇1200米时,在最佳强度范围内持续的时间会有3到4分钟,累积下来大约15到20分钟的最佳强度范围时间,所以,1200间歇相对于400米间歇会是更有利的刺激。

而对于马拉松选手来说,最佳的间歇时间应该在2到6分钟。在这个时间范围内的间歇中训练,可以尽量让单次时间长到可以让自己在95%到100%的最大摄氧量强度下,积累最够有实际作用的时间;同时又保证不会因为距离太短而尽快失去刚刚才产生作用的强度。

所以,马拉松选手的间歇最佳距离应该在800到1600之间。

训练中要尽量避免2000米的重复跑,虽然这个距离也能很好的刺激最大摄氧量,但是它会耗费很大的精力,除了精英选手之外,普通跑者至少要花6分钟的时间完成,这很容易造成疲惫而让第二天的训练效率降低,间歇训练对于马拉松跑者很重要,但绝不能占主导地位,因为马拉松选手更重要的还应该是耐力训练。

针对马拉松选手的间歇训练,距离总量应该控制在5000米到10000米之间,大多的训练要安排6000到8000米。

2、乳酸门槛跑(相对容易的)

乳酸门槛跑的名词来源,是科学家通过测量血液中的乳酸含量为其命名。它表示你在有氧运动下能够维持的最快速度,也就是最大有氧速度。这也是马拉松成绩的重要生理指标。

每个跑友的能力都不相同,究竟怎样的配速才能算是自己的乳酸门槛跑配速呢?

对于多数跑者来说,找到合适的速度进行训练是很难驾驭的,特别是对于缺乏跑步经验的人群来说更是如此。因为速度跑要求既要足够努力又不能过于冒进,需要大量的训练积累,才能找到正确的感觉。

下表,是相对容易一些的乳酸门槛跑配速,它是根据半马的配速来的,对于很多初学者和能力不稳定的跑者,可以尝试下面这种配速的乳酸门槛跑。

在平时跑步练习中,提高有氧速度的跑友非常常见,大部分业余跑者都是通过乳酸门槛跑进行提高的。比如:一个人与一位5分钟配速的跑友一起训练,开始的时候,能力高一些的跑友可以一边跑一边聊天,但是能力较差的跑友只能倾听,经过一段时间的训练之后,那位能力较弱的跑友也能以5分的配速边跑边说话了。

3、乳酸门槛跑(相对困难)

另一种乳酸门槛跑训练的配速就是相对困难的了,它要求跑者对自己的能力有更高一个层面的认识,只有这样才能更精准的驾驭这种训练。

这个相对较困难的乳酸门槛跑,用的是我们15公里比赛配速进行训练的。

针对初级跑者和健身(中级)跑者进行乳酸门槛的速度建议。

  • 每公里的速度要比5公里比赛时的速度慢7~12秒。

  • 略接近10公里比赛时的速度(如果10公里跑不进53分钟,那么速度应该比10公里速度略快)。

  • 达到最大心率的80%~85%(可以用心率表进行测量)。

针对竞技跑者的建议。

  • 每公里速度比5公里比赛时的速度慢15~19秒。

  • 每公里的速度比10公里比赛时的速度慢9~13秒。

  • 达到最大心率的85%~90%。


除此之外,长距离训练也是提高成绩的重要环节,那么长距离的配速应该达到多少才能有相对应的效果呢?来看看下表。

长距离配速对照表

其实,马拉松提高成绩的关键就在于平时训练中不断地将自己42.195公里的能力提升到自己目标配速的范围,不论平时在做什么样的训练,都不要忘了这个目的。

(马拉松助手)

加载中...