新浪体育 综合体育

怎么科学解读闪电鞭?我劝你耗子尾汁,好好反思

观察者网

关注

刚才有个师兄问我,kk发生肾么事了,我一看,噢,原来是佐田,有两个物理所小编,看了B站鬼畜区马老师的视频,塔闷说,kk你能不能教教我怎么学习马老师的绝活儿——五连鞭,我说你们光学这个没用,他们说有用。然后,他们“啪”的一声就站起来了,很快啊!一个半蹲,另一个开始甩手。

我们相视而笑,他们说他们学马老师是乱甩的,我说马老师可不是乱甩的!化劲儿、关节放松、筋、膜绷紧,可见是有bear而来。作为物理所小编,来骗!白嫖!马老师的功夫,这合适吗?要耗子尾汁,好好反思,看清“传统武术”背后的“玄妙”。学物理要以和为贵,不要搞窝里斗!

今天小编就出一期教程给你讲讲马老师“传统功夫”背后的奥秘。

人体运动链模型

人体运动过程可以看成是“人体运动链”的多关节活动,这是一个将人体的骨骼、肌肉和关节组成的有机系统。骑自行车、跑步、游泳、打排球、踢足球和掷标枪等运动,无一例外地是人的肢体和各个关节地配合完成的,这其中也包括马老师秘技——闪电五连鞭/song guo tan dou闪电鞭。

人体的各个关节可以看作是转轴——点,肢节则可以简化成刚体——线。于是很自然的我们在分析人体运动的时候就能够搬出高中物理那一套,用足够简化的模型来研究人体运动了。然而,这只是刚开始。

上肢模型和相应的图示及其关联矩阵。分数中的分子表示肢节号码,分母表示肢节级数,圆圈中的数字表示关节号码。

对于运动力学专业,在此基础上还可以利用Kane方程,来对关节和肢节的运动姿态加以描述,人体的运动过程能够以矩阵运算的方法描述,从而对这条“人体运动链”的拿捏得死死的。在这个过程中,不需要讲武德,五连鞭每一鞭的给敌人的冲击力到底多少?每一块筋、膜、关节的运动状态,肾摸时候该松,肾摸时候该紧?以及该松的松该紧的紧,到底是肾摸紧,肾摸松?直观地看出怎么发出弹抖劲儿。

这个方法这么难,其实小编不会,就是来骗!一下泥萌这些小同志。今天只能定性地做一些分析。感兴趣的盆友,出门左拐自学。

人体鞭打模型中的甩鞭效应

“鞭打”模型实际上是体育运动中常见的技术动作模型,只不过通常运动中的鞭打动作是将胳膊向内收,类似于扇耳光的动作。

也可以参考羽毛球里面的鞭打模型,基于角动量守恒,在一个旋转体系里,头部产生角动量,并向尾端传递,尾端的旋转速度会越来越快。

可以称之为螺旋加速效应或甩鞭效应,以下原理图也有助于理解这个过程。在羽毛球击球点在速度最大的位置击中羽毛球,是对对手打过来球最好的回敬。及时的“制动”(但不是停止运动),合适的发力时间,才能有效的把力量传递出去。

鞭打得好,还能产生超音速冲击波,在2002年的一篇PRL上,发表了研究人员对鞭子音爆的产生原因的分析,研究显示鞭鞘的速度能达到2马赫(2倍音速)。据作者计算,尖端的速度能够达到鞭子初始速度的30倍以上。

闪电鞭的确和一般运动不一样啊,它还是向外抽,这就有意思了,来分!析一下。

我们先用简单的动量守恒(角动量守恒也行)来定性判断一下在闪电鞭打出的这一下动量是怎么传递的。仔细观察马老师出鞭时的手臂动作,做出一个简单的假设,在出鞭最末态,小臂和大臂会产生一个制动。

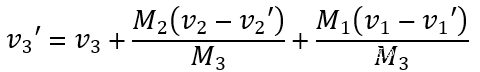
如暂时不考虑马老师身体的作用,只考虑手臂三个肢节的运动,则有M3、M2、M1分别表示手掌,小臂和大臂的质量。v和v‘分别代表出鞭时,小臂和大臂制动前后的速度。

鞭打要让最后的手掌的速度v3达到最大值,由上式有

所以要让出鞭的最末态手掌速度达到最大(残影效果最为明显,也意味着对敌人极致的破坏力),首先需要让质量比 M2/M3 和 M1/M3 尽可能大,那么就需要让身体更多的肢节和关节参与到这条“人体运动链”的活动中。于是你也就看到了,为什么马老师在每一次出鞭的同时身体还会剧烈地抽搐身体。因为要尽可能地增大能传递给手掌的动量啊!

其次,以上分析可以看出,需要让大臂和小臂的在出鞭末态有较大的速度变化,这就可以从两方面考虑。我们以闪电鞭的“第五鞭”为参考,一方面需要增加v,于是助跳、收臂增加运动程,再进行弹抖、筋、膜紧起来、关节松下去,增加初速度。另一方面,在出鞭末态及时“制动”让产生的动量传递到手掌,这就是为什么闪电鞭要向外抽了,人体构造限制了肢节的活动范围,如小臂和大臂只能在0-180°范围内活动,这也为收臂提供了充足的制动力量,尽可能减小v‘。综上(v-v‘)得以最大化。

不仅如此,蓄力过程就是生物力学中所谓的“超等长收缩”。什么意思呢,蓄力就是将出鞭时需要紧的肌肉,进行预拉伸,让肌肉始终处于一个最为合适的初始长度。相当于提前储存一些弹性势能。这在掷标枪和掷铁饼时尤为常见,运动员会在发力之前将身体拧起来。

怎央打好五连鞭?

总结以上的鞭打过程,就是加速——(制动——传递——加速)n——高速,n取决于运动链的肢节数。五连鞭打得好要注意三点:

第一,该松的松该紧的紧,讲的就是人体在鞭打时,传递动力矩的过程中还要不断产生新的动力矩,需要让力矩传递出去后有更小的损耗。

第二,丹田发力,根据马老师的视频可以看到,丹田发力也就是核心肌群发力,让身体更多的部分参与到鞭打的过程中,增加质量比,从而让“鞭尾”更加有杀伤力。

第三,三位一体混元劲儿,小编想,讲的就是让手掌、小臂、大臂三个部位,时刻刻联系在一起,相互配合维持鞭打的姿态吧!所以如果想要维持鞭打形态,发力部位的次序千万不能搞混,依次是腿部——髋部——丹田——肩部——肘部——手部,这样更能发挥出六位一体混元劲儿,比三位一体更强,马老师也会直呼内行。

如果能再配上真正的闪电鞭,威力会更大。

我要为闪电鞭正名!

所以哈,根据小编上面的分析来推断呢,这个被网友称为松果痰抖闪电鞭的绝活,奥!原来是“松活弹抖闪电鞭”。不过小编把周围能山东和河南师兄师姐都问遍了好像“活”字不大能被读成视频里以 g 为声母的字。

所以小编推测是“松腘弹抖闪电鞭”,也有很大的可能。腘代表腘绳肌,即大腿后侧肌群,包括半腱肌、半膜肌、股二头肌。不信你看马老师抽动的双腿,腘绳肌果然很松啊!

可见尊重马老师的最好的方式就是为马老师的绝活儿正名(误)谢谢盆友萌~

松活弹抖闪电鞭

武林秘笈

参考文献:

[1] 蒋慧宇,张伟。鞭打动作在标枪运动中的应用[J]。湖北体育科技,2017,36(05):430-432。

[2] 耿丽。人体运动链鞭打动作生物力学特征分析[J]。中学物理教学参考,2016,45(24):74-75。

[3] 徐磊。 人体上肢运动链基本动作的生物力学分析[D]。河北师范大学,2014。

[4] 刘卉。上肢鞭打动作技术原理的生物力学研究[J]。体育科学,2004(11):30-36。

[5] 潘慧炬,胡振浩。人体鞭打动作的力学模型[J]。浙江体育科学,1990(06):17-21。

[6] 吴鸿春。人体“鞭打”动作的生物力学分析[J]。贵州体育科技,1988(03):37-39。

[7] Alain Goriely, Tyler McMillen。 Shape of a Cracking Whip[J]。 Physical Review Letters, 2002,88(24),244301-1-4。

[8]True Cause of Whip‘s Crack Uncovered-Scientificamerican

[9]挥拍秘籍之旋转的秘密(螺旋加速)-知乎

(中科院物理所)

加载中...