新浪体育 国内足球

广州队公布一线队名单:共35人蒋光太韦世豪领衔

新浪体育

关注
听新闻

5月2日晚上,广州队通过官方微博公布一线队大名单,蒋光太、韦世豪领衔,严鼎皓在列,张修维、李学鹏没有出现在名单当中。

广州队一线队35人名单:

门将:刘世博、阿斯汗、霍深坪、张健智

后卫:吴少聪、蒋光太、韦所为、万隶楷、魏洺赫、王世龙、赵文哲、陈泉江、王文轩、陈日金、李扬

中场:严鼎皓、李星贤、杨德江、张文烜、王世杰、何鑫杰、张子立、阮赛、侯煜、蔡明民、黄光亮、郑圣雄

前锋:杨立瑜、韦世豪、曾耀樟、艾菲尔丁-艾斯卡尔、凌杰、陈龙、李佳珩、范恒博

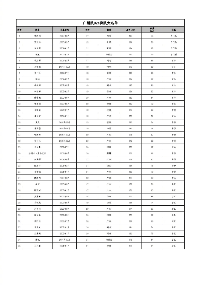
U21梯队大名单:

U19梯队大名单:

(二饼)

加载中...